自旋电子学的核心研究内容之一,是利用电流产生自旋力矩以操控自旋和磁矩方向,从而开发新型的低功耗信息器件。迄今为止,关于自旋力矩(Spin Orbit Torque, SOT)的研究主要集中于非磁金属/铁磁异质结体系,其面临以下根本性瓶颈科学问题:
1. 稳定性:异质结体系中的自旋力矩属于界面效应,从而随磁性薄膜厚度增加而减小,不利于制备热稳定性好、非易失性的信息器件。
2. 复杂性:由异质结构建的磁性随机存储器(Magnetic Random Access Memory, MRAM)器件需要三端架构,显著增加了器件复杂度。
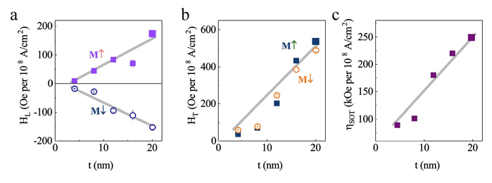
为解决这些根本性瓶颈问题,作者创新地提出在兼具强磁性和强自旋轨道耦合作用的L10相FePt单层膜中探索自旋力矩,示意图如图1(a)。作者首先制备了外延的L10相FePt单层纳米膜,再利用霍尔电测量和磁光测量技术探索自旋力矩效应。实验结果表明:L10相FePt单层中存在自旋力矩效应,可利用自旋力矩操控磁化状态(图2),并且该自旋力矩表现出体效应特性,即随着薄膜厚度增加自旋力矩增强(图3)。这一结果是国际上首次在具有垂直磁各向异性的单层膜中实现自旋力矩操控磁化状态,为解决前述瓶颈问题提供了新思路,有望开发出具有简单结构、高密度、低能耗的自旋器件。此项研究成果一方面拓展了自旋力矩研究的版图,另一方面将对开发具有简单结构、高密度、低能耗的自旋电子器件产生变革性的影响。
围绕L10相FePt单层膜中自旋力矩的起源,文章先后排除了反向晶界、温度梯度、磁化强度面内分量、表面Pt分离等引起对称性破缺的因素,最终归结为L10相FePt单层膜内在的结构梯度,其表现为沿着薄膜生长方向存在成分梯度。作者特别设计并成功制备出具有相反结构梯度的L10相FePt单层膜,并在该样品中观测到相反的自旋力矩效应,证实了结构梯度在L10相FePt单层膜自旋力矩的产生中起到决定性作用。
基于实验结果,作者进一步从理论上建立具有结构梯度的单层铁磁薄膜模型,采用量子输运方法计算体系的自旋力矩。计算结果表明,当单层膜不存在结构梯度时,体系的自旋力矩为零,随着结构梯度增大,自旋力矩逐渐增大(图4),从理论上证明了结构梯度产生自旋力矩这一机制的合理性。
该成果以“Bulk Spin Torque-Driven Perpendicular Magnetization Switching in L10 FePt Single Layer”为题发表在《Advanced Materials》。1024社区
博士生唐猛为论文第一作者,1024社区
丘学鹏研究员、阿卜杜拉国王科技大学和艾克斯-马赛大学Aurelien Manchon教授为论文共同通讯作者。
文章链接://doi.org/10.1002/adma.202002607
图1 L10相FePt单层膜中自旋力矩示意图(a),晶体结构的XRD表征(b)和TEM表征(c),磁性表征(d)。
图 2 自旋力矩驱动磁化状态翻转的测量示意图(a), 8 nm L10相FePt的电测量结果(b)和磁光测量结果(c)。
图 3 L10相FePt的自旋力矩的等效磁场、自旋力矩驱动翻转的效率随薄膜厚度的变化关系。

图 4 理论模型中的结构梯度示意图以及计算结果。